
பஞ்சாங்க கணிதம்
மன்மத வருஷம், வைகாசி மாதம் 13ம்நாள் (27.5.2015) புதன் கிழமை அன்று
திருக்கணித முறையில் வாரம், நட்சத்திரம், திதி, கரணம், யோகம்
அறியும் கணிதம் இங்கு தரப்பட்டுள்ளது
குறிப்பு: இங்கு தரப்பப்ட்டுள்ள கணிதம் சூரியன், சந்திரனின் சராசரி வேக நிலை (தினகதி) அடிப்படையிலானது
எனவே திதி, நட்சத்திரத்திரத்தில் (±)3 நிமிடம் வரை வேறுபாடு இருக்கும்.
கிரக ஸ்புடம் இந்திய அரசின் வானியல் துறை வெளியிட்ட மிகதுல்லியமான புள்ளிவிபரம்
மிக துல்லியமான சூரியன் & சந்திரன் கிரக ஸ்புடம் 2015-2016 (மன்மத வருஷம்) download
பாகம் 1 தினசுத்தி, சூரிய சந்திர கிரக ஸ்புடம் (காலை 5:30 இந்திய நேரம்
பாகம் 2 நட்சத்திர கணணம் 27.5.2015
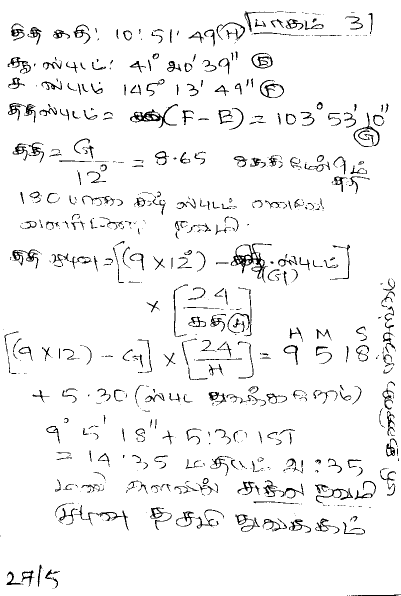
பாகம் 3 திதி கணிதம் - 27.5.2015 புதன் கிழமை

பாகம் 4 கரணம் கணிதம், சூரிய இராசி, நட்சத்திர நிலை

பாகம் 5 யோகம் கணணம் 27.5.2015 புதன் கிழமை

கரணம் கணிதம் சிறப்பு பார்வை (பெரியதாக காண படத்தின் மீது கிளிக் செய்யவும்)
சூரியன் & சந்திரன் கிரக ஸ்புடம் 2015-2016 (மன்மத வருஷம்) download
பாலு சரவண சர்மா - பஞ்சாங்க கணிதக்ஞர்
Balu Saravana Sarma - Tambaram Astrologer, Prohithar, Panchanga Ganithar
ஸ்ரீதணிகை பஞ்சாங்கம்
www.thanigaipanchangam.com